AGAR Documents 2024 - 2025
Click the document to expand the view:
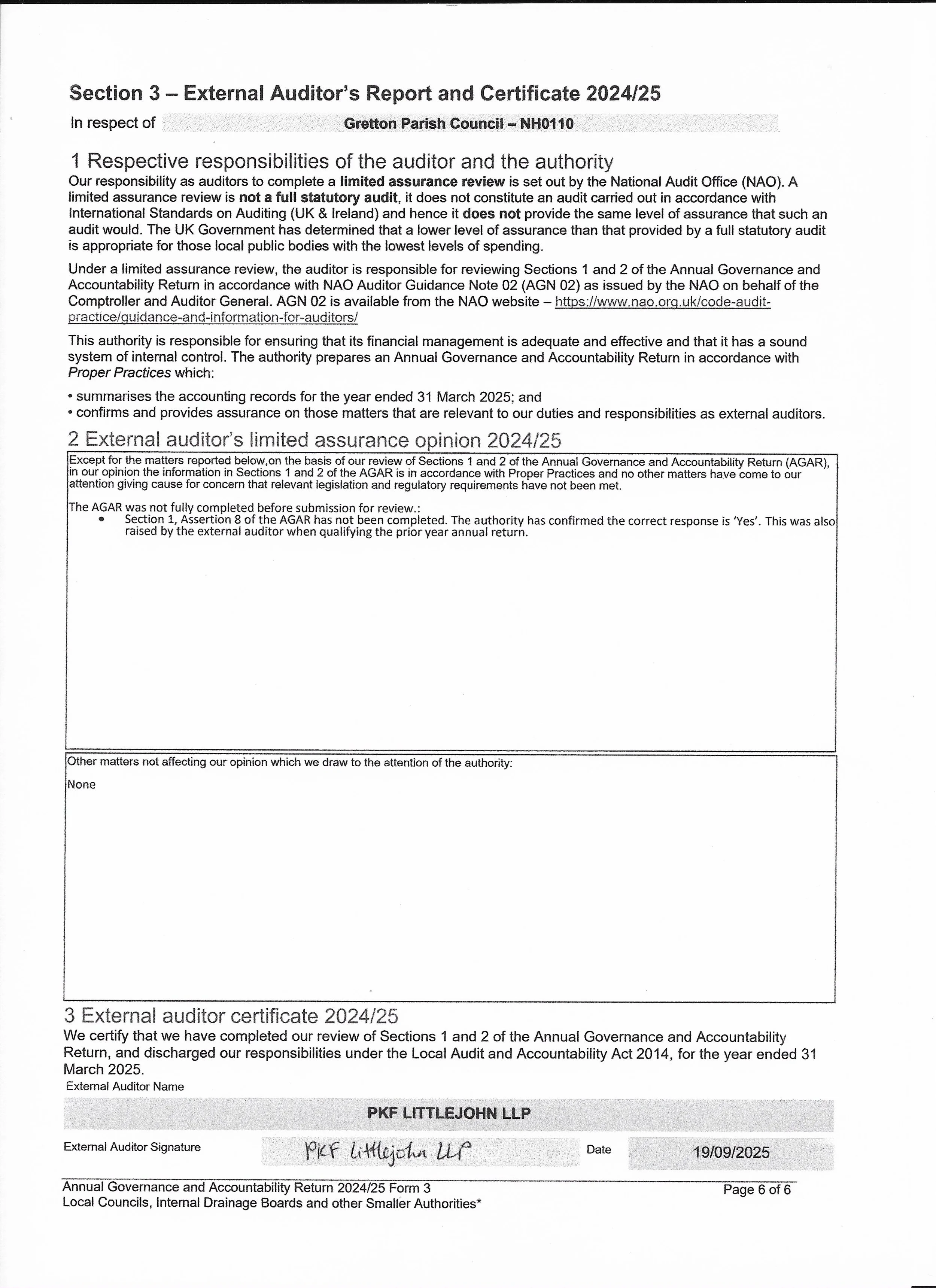
I declare that these 2024 - 2025 accounting statements are as now audited.
C Watts,
Clerk and RFO
Gretton Parish Council
AGAR Documents 2024 - 2025
Click the document to expand the view:
I declare that these 2024 - 2025 accounting statements are as now audited.
C Watts,
Clerk and RFO
Gretton Parish Council